Sulfonación
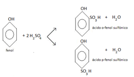
El fenol se puede combinar con el ácido sulfúrico en caliente, dando una mezcla de dos isómeros de ácido O- fenol sulfónico y P- fenol sulfónico.

El fenol se puede combinar con el ácido sulfúrico en caliente, dando una mezcla de dos isómeros de ácido O- fenol sulfónico y P- fenol sulfónico.
